Printable Will And Testament Form: The Ultimate Guide
Are you looking for a Printable Will And Testament Form that is easy to use and legally binding? Look no further! In this comprehensive guide, we will cover everything you need to know about Printable Will And Testament Forms, how to download and save them, and why they are essential for everyone.
Knowledge
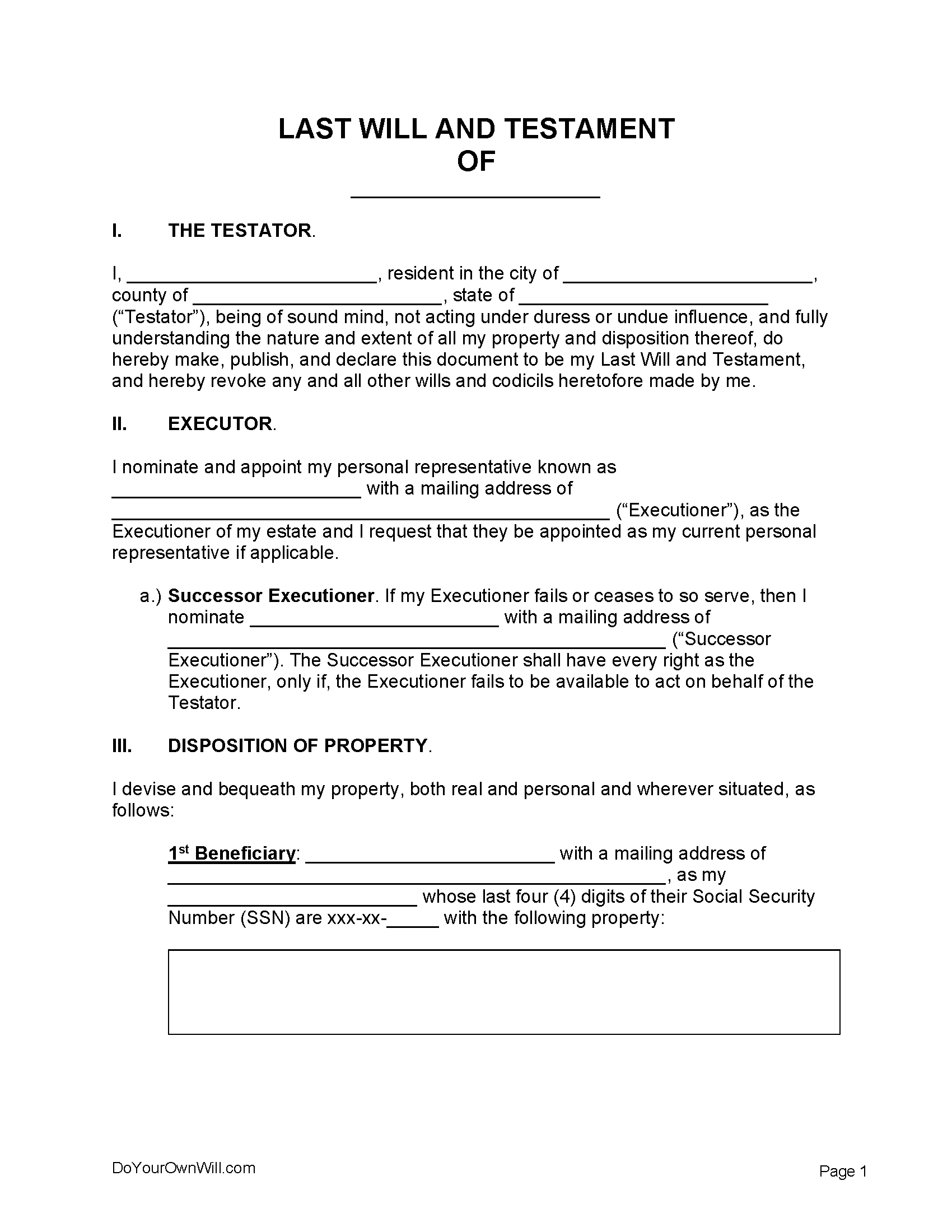
A Printable Will And Testament Form is a legal document that allows you to outline how you want your assets to be distributed after your passing. It also enables you to appoint a guardian for any minor children and specify your funeral arrangements. Having a will in place ensures that your wishes are carried out and can help prevent disputes among family members.
When creating a Printable Will And Testament Form, you must carefully consider all aspects of your estate, including bank accounts, investments, real estate, vehicles, and personal belongings. You also need to choose an executor who will be responsible for carrying out your wishes and distributing your assets according to the terms of the will.
It is essential to update your Printable Will And Testament Form regularly to reflect any changes in your life circumstances, such as marriage, divorce, birth of children, or acquisition of new assets. Failure to update your will can lead to unintended consequences and disputes among your loved ones.
How to download and save it
Downloading and saving a Printable Will And Testament Form is a simple process. You can find a variety of templates online that you can customize to suit your specific needs. Make sure to choose a template that is legally valid in your jurisdiction and meets all the requirements for a valid will.
Once you have downloaded the form, fill it out with your personal information, assets, beneficiaries, and any other details you wish to include. You may also want to consult with a legal professional to ensure that your will complies with all applicable laws and regulations.
After completing the form, make sure to store it in a safe place where it can be easily accessed by your executor or loved ones after your passing. Consider keeping a copy of your will with your important documents or in a secure location such as a safe deposit box.
Conclusion
In conclusion, a Printable Will And Testament Form is a crucial document that everyone should have. It allows you to protect your assets, ensure your wishes are carried out, and provide for your loved ones after your passing. By taking the time to create a will and keep it updated, you can have peace of mind knowing that your affairs are in order.
Printable Will And Testament Forms are suitable for individuals of all ages and income levels. Whether you have a vast estate or modest assets, having a will in place is essential for protecting your loved ones and ensuring that your wishes are respected.
In today’s uncertain world, having a Printable Will And Testament Form is more critical than ever. By taking the time to create a will, you can avoid unnecessary stress and conflict for your family and ensure that your legacy is preserved for future generations.

