Printable Last Will And Testament Form: Secure Your Legacy Today
Are you looking for a simple and efficient way to ensure that your assets are distributed according to your wishes after you pass away? A Printable Last Will And Testament Form might just be the solution you need. This legal document allows you to outline how you want your property, finances, and personal belongings to be handled after your death. In this article, we will delve into the details of this form, how to download and save it, and why it is crucial for everyone to have one in place.
Knowledge: Everything You Need to Know
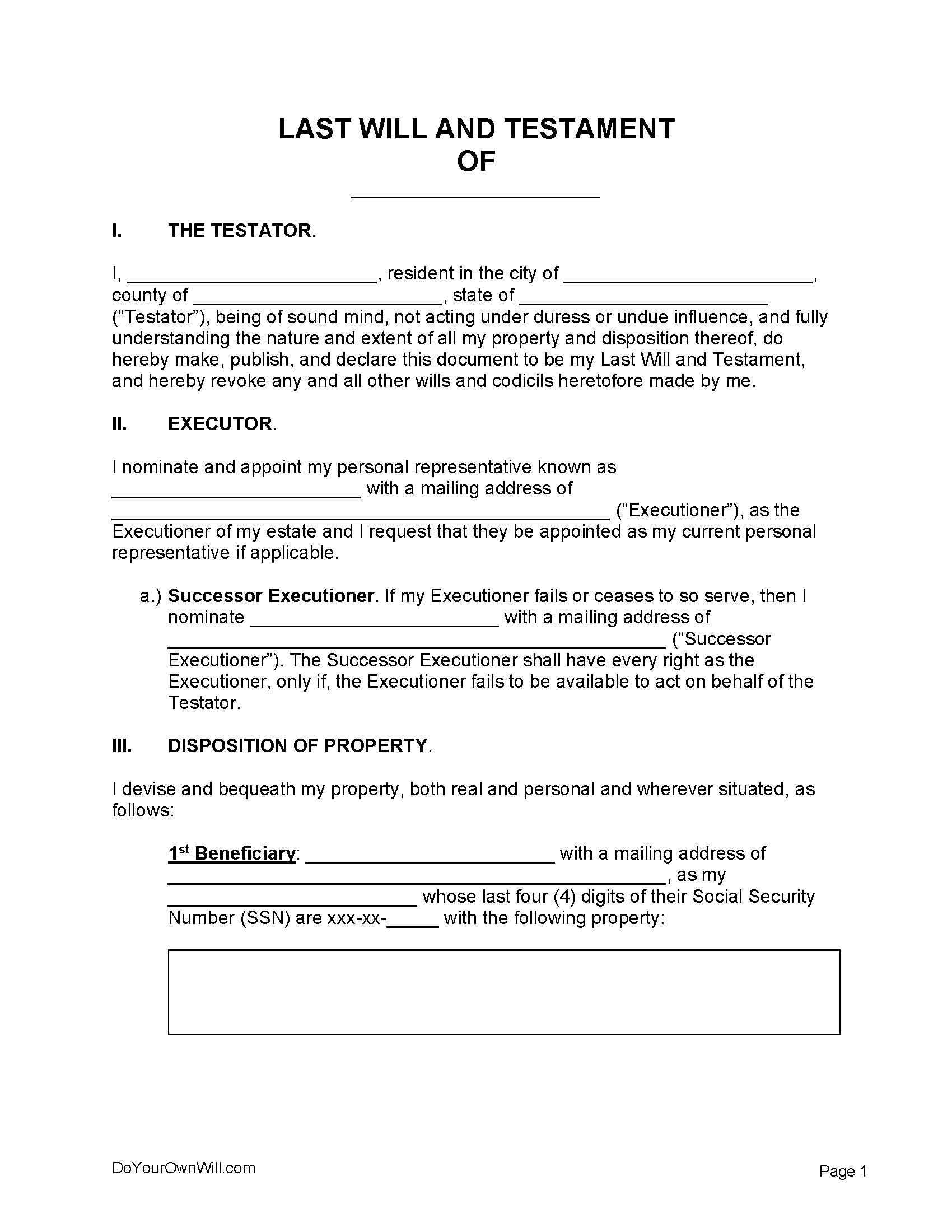
A Printable Last Will And Testament Form is a document that provides instructions for the distribution of your assets and the appointment of guardians for any minor children. It allows you to specify who will inherit your property, how your debts will be paid, and who will be responsible for carrying out your wishes. By creating a will, you can ensure that your loved ones are taken care of and that your legacy is protected.
When creating a will, it is essential to follow the legal requirements of your state to ensure its validity. You must be of sound mind and free from undue influence when drafting your will. It is recommended to seek the advice of a legal professional to ensure that your will meets all necessary legal standards.
Some key components of a Printable Last Will And Testament Form include:
The executor is responsible for overseeing the distribution of your assets and carrying out your wishes as outlined in the will. It is essential to choose someone you trust to fulfill this role.
Beneficiaries are the individuals or organizations that will inherit your property and assets. You can specify how you want your property to be divided among your beneficiaries in your will.
If you have minor children, you can use your will to appoint a guardian to care for them in the event of your death. This ensures that your children will be taken care of by someone you trust.
Your will can also outline how your debts will be paid and how any estate taxes will be handled. This can help prevent confusion and disputes among your heirs.
How to Download and Save It
Downloading a Printable Last Will And Testament Form is easy and convenient. You can find a variety of templates online that you can customize to meet your specific needs. Simply search for “Printable Last Will And Testament Form” in your preferred search engine, and you will find numerous options to choose from.
Once you have selected a template, you can fill in the necessary information, such as your name, beneficiaries, and executor. Be sure to review the document carefully to ensure that all details are accurate and reflect your wishes. Once you have completed the form, you can save it to your computer or print it out for safekeeping.
Conclusion
In conclusion, a Printable Last Will And Testament Form is a valuable tool for anyone looking to secure their legacy and ensure that their wishes are carried out after they pass away. By creating a will, you can provide for your loved ones, protect your assets, and avoid potential conflicts among your heirs. This form is essential for individuals of all ages and backgrounds, as it allows you to maintain control over your estate and provide for those who matter most to you.
Ultimately, a Printable Last Will And Testament Form is a practical and straightforward way to plan for the future and protect your loved ones. Don’t wait until it’s too late – take the time to create a will today and secure your legacy for tomorrow.

