Free Printable Power Of Attorney Form California: Everything You Need to Know
Are you looking for a free printable Power of Attorney form in California? Look no further! In this comprehensive guide, we will cover everything you need to know about this important legal document.
Knowledge
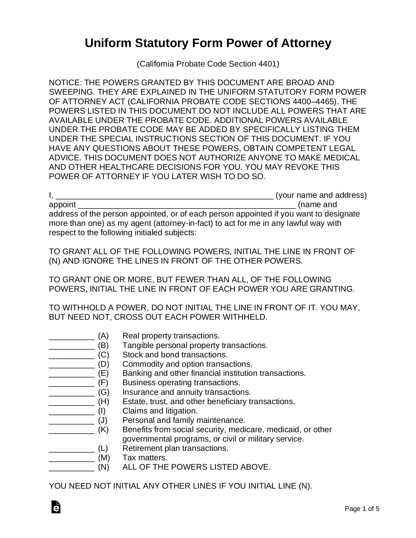
A Power of Attorney (POA) is a legal document that allows you (the principal) to appoint someone else (the agent or attorney-in-fact) to make important decisions on your behalf. In California, the POA form must comply with state laws to be valid.
There are different types of POA forms in California, including General POA, Limited POA, Durable POA, and Springing POA. Each type serves a specific purpose and grants different levels of authority to the agent.
When creating a POA form, it is crucial to specify the powers granted to the agent, the duration of the POA, and any limitations or restrictions. It is also essential to choose a trustworthy and reliable agent to act in your best interests.
Before signing a POA form, it is advisable to consult with a legal professional to ensure that the document meets all legal requirements and adequately protects your interests.
How to download and save it
To download a free printable Power of Attorney form for California, you can visit the California Courts website or reputable legal websites that offer customizable POA templates. Once you have downloaded the form, fill in the required information, sign it in the presence of a notary public, and have the agent sign it as well.
After signing the POA form, make several copies and keep the original in a safe place. Provide copies to your agent, trusted family members, and any relevant institutions, such as banks or healthcare providers, where the POA may need to be presented.
Conclusion
In conclusion, the Free Printable Power of Attorney Form California is a valuable legal document that can help you plan for unforeseen circumstances and ensure that your affairs are managed according to your wishes. This form is essential for anyone who wants to appoint a trusted individual to make decisions on their behalf.
By understanding the different types of POA forms, knowing how to download and save them, and consulting with a legal professional, you can create a comprehensive and legally sound document that protects your interests.

