Printable Last Will And Testament Template: Secure Your Legacy
Are you looking for a convenient and cost-effective way to ensure your final wishes are carried out? A Printable Last Will And Testament Template may be the perfect solution for you. In this article, we will explore the benefits of using a printable template for your last will and testament, how to download and save it, and why it is essential to have one in place.
Knowledge
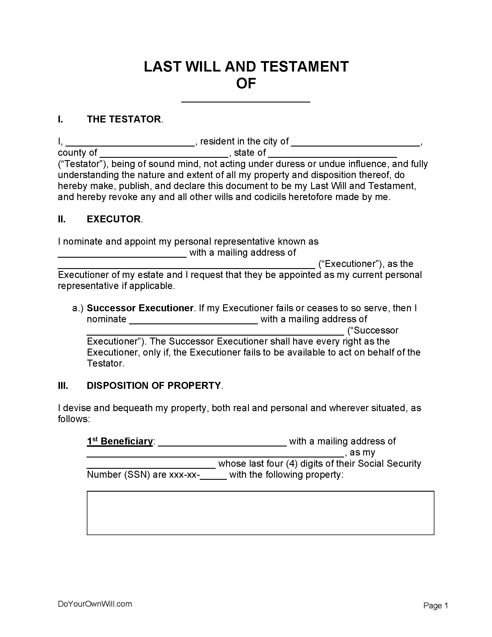
Before we dive into the details of how to use a Printable Last Will And Testament Template, let’s first understand what it is and why it is crucial to have one. A last will and testament is a legal document that outlines your final wishes regarding the distribution of your assets, care for your dependents, and other important matters after your passing.
Having a last will and testament in place is essential to ensure that your wishes are carried out precisely as you intended. Without a will, the state will distribute your assets according to intestacy laws, which may not align with your preferences. By using a printable template, you can easily create a customized will that reflects your specific wishes.
Additionally, a last will and testament allows you to appoint an executor, guardians for your minor children, and make other important decisions that will impact your loved ones after your passing. It provides peace of mind knowing that your affairs are in order and your loved ones are taken care of.
How to download and save it
Downloading and saving a Printable Last Will And Testament Template is a simple and straightforward process. Many online platforms offer free or low-cost templates that you can customize to suit your needs. Simply search for a reputable source, download the template in a compatible file format such as PDF or Word, and save it to your computer or cloud storage for easy access.
Once you have downloaded the template, take the time to carefully review and fill in the necessary information. Be sure to include details about your assets, beneficiaries, executor, guardians, and any other specific instructions you wish to include. Once you have completed the template, print it out, sign it in the presence of witnesses as required by law, and store it in a safe place such as a secure filing cabinet or with your attorney.
Conclusion
In conclusion, a Printable Last Will And Testament Template is a valuable tool for ensuring your final wishes are carried out according to your desires. This easy-to-use and cost-effective solution provides peace of mind knowing that your loved ones are taken care of and your legacy is secure.
Whether you are young or old, single or married, having a last will and testament in place is essential for everyone. By utilizing a printable template, you can create a personalized will that reflects your unique circumstances and preferences.
Take the time to download and save a Printable Last Will And Testament Template today to protect your legacy and provide for your loved ones in the future. Your final wishes are too important to leave to chance, so take control of your future today.

