Free Printable Will And Trust Forms Pdf
Are you looking for a convenient and cost-effective way to create a will or trust? Look no further than Free Printable Will And Trust Forms Pdf. In this article, we will explore the benefits of using these forms, how to download and save them, and why they are essential for your estate planning needs.
Knowledge
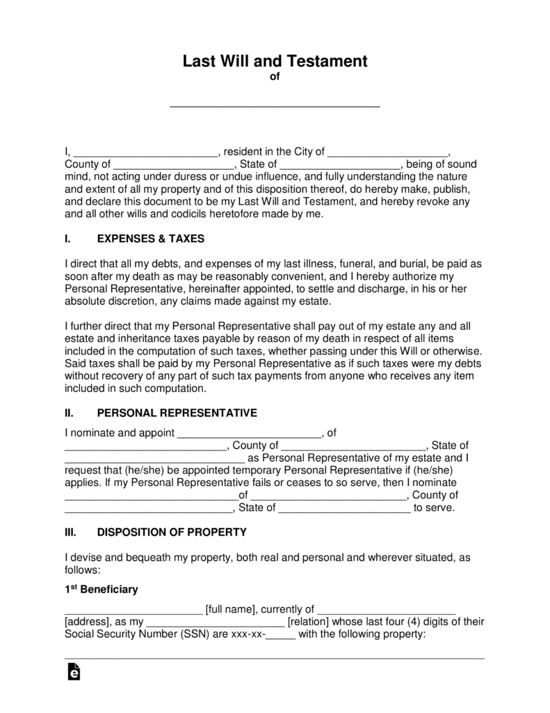
When it comes to estate planning, having a will and trust in place is crucial to ensure that your assets are distributed according to your wishes after you pass away. Free Printable Will And Trust Forms Pdf provide a simple and accessible way to create these legal documents without the need to hire an expensive attorney.
With these forms, you can specify who will inherit your property, designate guardians for your children, and appoint an executor to handle your estate. Additionally, you can outline your funeral and burial wishes, specify any charitable donations, and establish a trust to manage assets for your beneficiaries.
It is essential to understand the legal requirements for wills and trusts in your state to ensure that your documents are valid and enforceable. While these forms can be a valuable resource for creating basic estate planning documents, it is recommended to consult with a legal professional to address any complex or specific issues.
How to download and save it
Downloading and saving Free Printable Will And Trust Forms Pdf is a straightforward process. Simply visit a reputable website that offers these forms, such as legalzoom.com or rocketlawyer.com. Once you have selected the desired forms, you can download them in PDF format and save them to your computer or device for future use.
It is important to review the instructions provided with the forms carefully to ensure that you complete them accurately and in accordance with state laws. You may also want to consider storing a physical copy of your will and trust in a secure location, such as a safe deposit box or with your attorney.
Conclusion
In conclusion, Free Printable Will And Trust Forms Pdf are a valuable tool for creating essential estate planning documents quickly and conveniently. These forms are ideal for individuals who want to take control of their financial and personal affairs without the need for expensive legal assistance.
By using Free Printable Will And Trust Forms Pdf, you can ensure that your wishes are carried out after your passing and provide peace of mind for yourself and your loved ones. Remember to review and update your will and trust regularly to reflect any changes in your circumstances or preferences.
Overall, Free Printable Will And Trust Forms Pdf are an excellent resource for anyone looking to establish a comprehensive estate plan efficiently and affordably. Take the first step towards securing your legacy today by utilizing these convenient and accessible forms.

